FATÁJ-online szaklap: események, gazdasági jelenségek a faiparban, bútoriparban, asztalosságban, erdőgazdálkodásban és a kapcsolódó területeken. Beszámolók, riportok, sajtószemle, ...
FELIRATKOZÁS FATÁJ-Online hírlevélre.
Kérem jelezze szakterületét, cégét, annak kapcsolóit.
Hivatkozás:
Ha felhasználja bármely cikket a FATÁJ-ból, hivatkozzon rá annak kapcsolójával is.

STIHL - Nemzedékekre tervezve

Mátyás Fakereskedo Kft
METAMOB - akciós MetaGO ajánlata
HUNNIA FAGÉP - Jó magyarnak lenni!
Faipari gépek -> Stonewood Kft
 
FATÁJ nyitólap
FATÁJ archívum:

FATÁJ-online
médiaajánlat
pdf

FAGOSZ, Fagazdasági Országos Szakmai Szövetség
A FAGOSZ a FATÁJ kiadója.


FAGOSZ filmtár a Hazai Erdésznél

Nemzeti kincsünk az erdő - 40 kisfilm

Erdészeti és Faipari Dolgozók Szakszervezete

Magán Erdotulajdonosok és Gazdálkodók Országos Szövetsége

Országos Erdészeti Egyesület

Hobbi Faesztergálás


Dr. Gerencsér Kinga: Fafeldolgozás mobil szalagfűrésszel
(A 2002-ben megjelent kiadvány online változata.)

Keres egy céget, intézményt, iskolát? Kezdje itt:
fatudakozo.hu
woodinfo.hu
woodinfo.eu
Akác
termékek
Magyar-
országról:
hungarobinia.hu
FAIPARI, ERDÉSZETI
apróhirdetések
DÍJMENTESEN

FAIPARI, ERDÉSZETI
szakkönyvek

2019-10-28

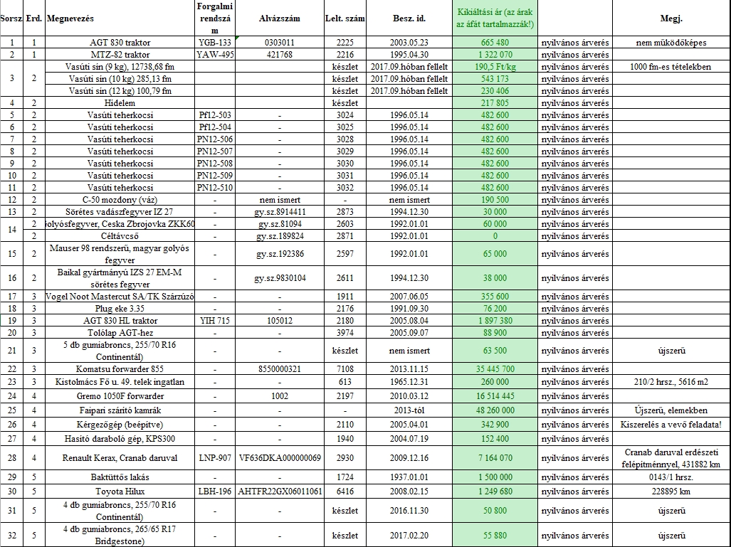
Gépek, eszközök nyilvános árverése

A ZALAERDŐ Zrt. nyilvános árverés keretében értékesíteni kívánja alábbi eszközeit. Lenti, 2019. november 06.

Megosztás:
Megosztás a Facebook-on


Kattints a táblázatra további részletekért

Az árverés időpontja és helyszíne: 2019. november 6. (szerda) 10 óra, a Zalaerdő Zrt. Lenti Erdészete, Lenti Táncsics u. 11/a.

 

További információ az eszközökről és az árverésről: a www.zalaerdo.hu weboldalon, illetve munkaidőben a 30/474-2120-as telefonszámon.



Az eszközök előzetesen megtekinthetőek a weboldalon megjelölt telephelyeken telefonos egyeztetést követően.

 

Általános feltételek: az árverésen való részvétel feltétele az árverési bánatpénz megfizetése (kikiáltási ár 10%-a, de maximum 1,5 MFt), erre a helyszínen az árverés előtt egy órával van lehetőség. A vételár maradéktalan kiegyenlítésére az árverést követően 15 nap áll rendelkezésre. A birtokba adás ezt követően történhet meg.

Forrás: Zalaerdő Zrt.

 

Kentech Kft

Dunaker Kft - Alapítva 1986

LEITZ Hungária Szerszám Kft

Erdészeti gépek, eszközök, muszerek, kiegészítok kereskedelme.

FATUDAKOZÓ - az online faipari cégtár




 A FATÁJ lapot kiadja a FAGOSZ
Minden jog fenntartva. All rights reserved.