FATÁJ-online szaklap: események, gazdasági jelenségek a faiparban, bútoriparban, asztalosságban, erdőgazdálkodásban és a kapcsolódó területeken. Beszámolók, riportok, sajtószemle, ...
FELIRATKOZÁS FATÁJ-Online hírlevélre.
Kérem jelezze szakterületét, cégét, annak kapcsolóit.
Hivatkozás:
Ha felhasználja bármely cikket a FATÁJ-ból, hivatkozzon rá annak kapcsolójával is.

STIHL - Nemzedékekre tervezve

Mátyás Fakereskedo Kft
METAMOB - akciós MetaGO ajánlata
HUNNIA FAGÉP - Jó magyarnak lenni!
Faipari gépek -> Stonewood Kft
FATÁJ nyitólap
FATÁJ archívum:

FATÁJ-online
médiaajánlat
pdf


FAGOSZ, Fagazdasági Országos Szakmai Szövetség
A FAGOSZ a FATÁJ kiadója.

Dr. Gerencsér Kinga: Fafeldolgozás mobil szalagfűrésszel
(A 2002-ben megjelent kiadvány online változata.)

Keres egy céget, intézményt, iskolát? Kezdje itt:
fatudakozo.hu
woodinfo.hu
woodinfo.eu
Akác
termékek
Magyar-
országról:
hungarobinia.hu
FAIPARI, ERDÉSZETI
apróhirdetések
DÍJMENTESEN

FAIPARI, ERDÉSZETI
szakkönyvek



FAGOSZ filmtár a Hazai Erdésznél

Nemzeti kincsünk az erdő - 40 kisfilm

Erdészeti és Faipari Dolgozók Szakszervezete

Magán Erdotulajdonosok és Gazdálkodók Országos Szövetsége

Országos Erdészeti Egyesület

Hobbi Faesztergálás


A pdf-ekhez az Acrobat Reader itt tölthető le:


2009-07-08

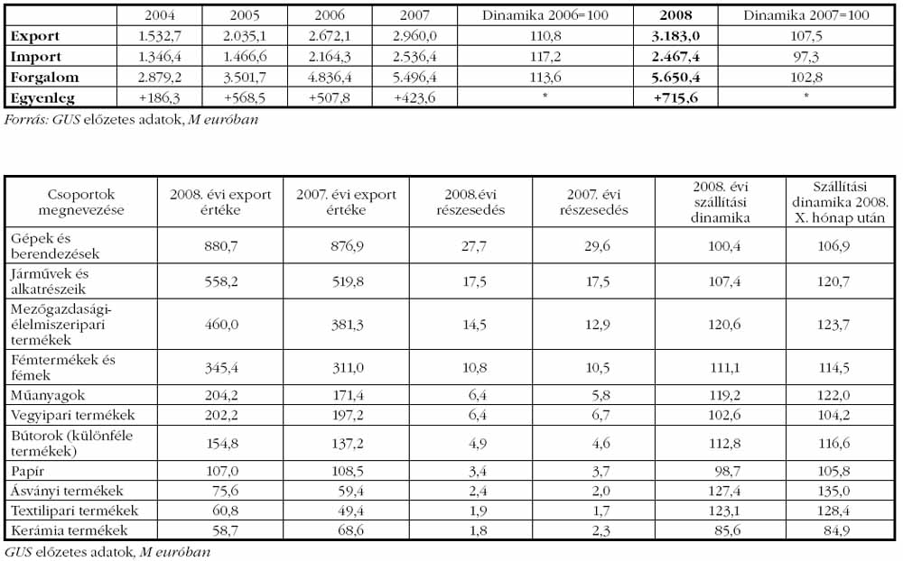
A 2008. évi lengyel-magyar áruforgalom

2008-ban Magyarország Lengyelország 7. kereskedelmi partnere volt, Németország, Ausztria, Olaszország, Franciaország, Oroszország és Szlovákia után 3,9%-os részesedéssel, úgy az exportban, mint az importban.

A Lengyel Statisztikai Hivatal (GUS) előzetes adatai szerint a Magyarországra irányuló lengyel export értéke 3.183,0 M euró volt, és 7,5%-kal haladta meg a 2007. évi eredményt.

A Magyarországról érkező import ebben az időben 2.467,4 M eurót tett ki és 2,7%-kal volt kisebb, mint a 2007. évi érték. A lengyel adatok szerint a Lengyelország számára pozitív egyenleg 715,6 M eurót tett ki.

A magyar Központi Statisztikai Hivatal (KSH) előzetes adatai szerint a 2008. évi magyar-lengyel forgalom értéke 5.766,4 M euró volt, ami 2,6%-kal több mint 2007. évben. A KSH szerinti a lengyel export értéke 2.889,2 M euró volt, azaz 5,4%-kal több, a Magyarországról érkező import pedig 2.877,2, azaz 0,1%-kal kevesebb volt, mint 2007-ben. Az egyenleg Lengyelország számára pozitív volt és 12,0 M eurót tett ki.

 

Az export szerkezete

A Magyarországra irányuló export fő árucsoportjai 2008. évben a fenti táblázat szerintiek voltak.

 

A válság hatása a lengyel exportra 2008. év végén

A világgazdasági válság hatása, amely Magyarországot különösen mélyen érintette, látható az ebbe az országba irányuló lengyel szállítások csökkenő dinamikáját bemutató adatokban is. Az egyes árucsoportokat (szekciókat) azonban különböző mértékben érintette a válság. Kivételt csak a kerámiatermékek és a cipők képeznek, amelyek szállításai az elmúlt év utolsó két hónapjában emelkedtek. Ezek azonban jelentéktelen, a forgalom egészét nem befolyásoló csoportok.

A szállítások dinamikája legerősebben a két legnagyobb árucsoportban, a gépek és berendezések valamint a járművek és alkatrészeik csoportjában csökkent. Novemberben és decemberben, az elsőben a szállítások kb. 35%-kal, a másodikban kb. 45%-kal voltak alacsonyabbak. Az export ilyen jelentős csökkenésére egyértelműen a magyar ipar helyzete hatott, amely decemberben gyakorlatilag abbahagyta a termelést.

Egyéb fontos árucsoportokban is alacsonyabb szállítási dinamika volt észlelhető, de a szállítások beszűkülése lényegesen kisebb mértékű volt (élelmiszeripari termékek, ruházat, ásványi termékek, műanyagok). Mindenesetre, igazolódik az a feltételezés, hogy 2009. évben jelentős csökkenést lehet várni azon termékek szállításai esetén, amelyek a magyar ipar által tovább feldolgozásra kerülnek, majd ezt követően exportálják azokat az európai piacokra. A közvetlenül a magyar fogyasztókhoz kerülő termékekben a csökkenés nem lesz nagymértékű, vagy kisebb emelkedés is várható.

 

Az import szerkezete

A Magyarországról érkező importban erősen dominál a gépek és berendezések szekciója, amely az import közel 36,6%-át adja (902,2 M euró). Jelentős import szekciót képeznek a műanyagok (11,1% részaránnyal és 274,9 M euró értékkel) valamint a vegyipari termékek (10,8% részarány és 267,7 M euró). A mezőgazdasági és élelmiszeripari termékek a Lengyelországba irányuló magyar szállítások 9,5%-át képviselik és 235,1 M euró értéket értek el. Az árucserében komoly pozíciót foglalnak el a fémtermékek (259,9 M euró és 10,5% részarány). A Magyarországról érkező import csökkenését elsősorban a járművek és alkatrészeik szállításainak 46%-os visszaesése váltotta ki (209,0 M euró, 8,5% részarány), azzal, hogy ezen a téren a szállításokban komoly csökkenések jelentkeztek már 2008. év elején is.

A Lengyelországba irányuló magyar szállítások visszaesése észrevehető volt számos szekcióban, ugyanakkor meg kell jegyezni, hogy ez minden esetben már az év első felében megkezdődött. A Lengyelországba megvalósított alacsonyabb szállítások oka tehát nem a világválság, hanem a magyar export egészén belül a versenyképesség romlása volt.

 

A szállítások csökkenése az alábbi szekciók esetén volt észlelhető:

Járművek és alkatrészeik - 43,7%

Fa - 19,4%

Műanyagok - 19,3%

Élő állatok és állati eredetű termékek - 18,0%

Papír - 16,9%

Kerámia termékek - 16,6%

Bútorok - 9,1%

Cipők - 8,2%

 

Összefoglalás és prognózis

Amennyiben a 2008. év első 10 hónapjára vonatkozó adatokban még nem voltak láthatók a válság kifejezett jelei, úgy a novemberi és decemberi adatok megmutatták, hol várhatóak (legalábbis a 2009. év első felében) a legdrasztikusabb szállítás visszaesések.

Komoly veszélybe kerültek a komponens beszállítások a magyar járműipari - de nem csak ezen - ágazat számára. A magyar ipari termelés több mint fele kerül exportra (főleg az EU országokba), így a Magyarországról származó import jelentős lecsökkentésére vonatkozóan megjelenő prognózisok a komponensekre irányuló kereslet komoly gyengülését váltják ki, a Lengyelországból jövő komponensek esetében is.

 

Ugyanakkor a magyar végfelhasználónak/ fogyasztóknak szánt fogyasztói javak exportjának helyzete várhatóan nem fog változni. Már a harmadik éve tart az erőteljes gazdasági lassulás, harmadik éve tart a reálbérek és a kiskereskedelmi értékesítés csökkenése. Ennek ellenére, a Lengyelországból jövő termékek (élelmiszer, ruházat, bútor) egyre jobban értékesíthetők és egyre nagyobb részesedést érnek el a piacon, kiszorítva onnan a konkurenciát, a jó minőségnek és az elérhető áraknak köszönhetően. A jelenlegi helyzet nem biztos, hogy veszélyt jelent az ilyen jellegű lengyel export számára. Néhány esetben a válság időszaka még kedvező hatást is hordozhat, mert a vevők az olcsóbb, de magas minőségű termékeket fogják majd keresni.

Készítette: Marcin Sowa, WPHI, Forrás: Lengyel Köztársaság Nagykövetsége

 


DomoTrend Kft - Lakberendezés Európa neves design-muhelyeibol.

A Microsonic Hunter-1™ kifejezetten olyan eszköz, mely az impulzusszeru zajbehatás káros következményeitol (dörej-ártalom) óvja meg viselojét, míg csendes környezetben a kello hallást biztosítja.

AKE - A perfekt megoldás

Dunaker Kft - Alapítva 1986

105 hazai furészüzem gazdasági teljesítménye - 2010. - Megvizsgáltunk 105 hazai furészüzemet muködteto vállalkozást (60 kemény-lombos, 44 lágy-lombos, 1 fenyo-feldolgozó) a 2010-es évi teljesítményei alapján.

Fagazdasági felszámolás számláló - 2012.május - Összegyujtöttük a fagazdaság szakterületein muködo (muködött) Magyarországon bejegyzett cégeket, amelyeknél a 2012-es évben indult el a felszámolási, ill. végelszámolási eljárás.

Grube Kft

Zalaerdő Zrt - Erdészek az erdoért

Forestinvest.hu

Erdészeti gépek, eszközök, muszerek, kiegészítok kereskedelme.

ERFARET Tudásközpont

Magyar Belsőépítészet

FATUDAKOZÓ - az online faipari cégtár

KARDEX Kft - Erdészeti-faipari termelés, kereskedelem. Furészáru termelés: elsosorban bükk és tölgy. Belföldi, nemzetközi szállítás. Export-import tevékenység.

LEITZ Hungária Szerszám Kft




 A FATÁJ lapot kiadja a FAGOSZ
Minden jog fenntartva. All rights reserved.